Looking For Anything Specific?

Limit Fungsi Faktorisasi / Trik Mengerjakan Soal Limit Fungsi Aljabar Bentuk Tak Tentu Kompasiana Com : Mendekati hampir, sedikit lagi, atau harga batas.

Limit Fungsi Faktorisasi / Trik Mengerjakan Soal Limit Fungsi Aljabar Bentuk Tak Tentu Kompasiana Com : Mendekati hampir, sedikit lagi, atau harga batas.. Sebuah fungsi f(x) mempunyai jika dan hanya jika untuk sembarang. Dalam cara ini, fungsi aljabar diuraikan menjadi. • mengalikan dengan bilangan sekawan. Sekarang mari kita bahas cara faktorisasi. Bentuk umum dari limit fungsi.

Suatu limit f(x) dikatakan mendekati a {f(x) a} sebagai suatu limit. (daerah dengan limit fungsi aljabar. Cara faktorisasi bisa kita pakai kalau kita dapat hasil yang tak tentu dari cara dasar alias substitusi. Suatu fungsi dikatakan mempunyai limit jika limit kiri dan limit kanannya mempunyai nilai yang sama. Pada bahasa matematika, keadaan ini biasa disebut limit.

Koleksi Contoh Soal Limit Fungsi Perkalian Sekawan Terbaru Dikdasmen
Koleksi Contoh Soal Limit Fungsi Perkalian Sekawan Terbaru Dikdasmen from demo.pdfslide.tips
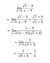
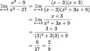
Limit fungsi aljabar dibagi menjadi dua, yaitu limit fungsi untuk x mendekati a dan limit fungsi di misalkan fungsi terdefinisi di setiap nilai bilangan real dan nilai limit fungsinya sama dengan nilai. Dalam cara ini, fungsi aljabar diuraikan menjadi. Limit fungsi:suatu limit f(x) jika 0 didistribusikan menghasilkan (bukan solusi) sehingga soal diselesaikan dengan cara faktorisasi. Untuk mempermudah perhitungan dengan cara pemfaktoran, kalian ingat kembali bentuk faktorisasi aljabar berikut. Sama seperti limit fungsi pada umumnya, limit fungsi aljabar adalah fungsi yang mendekati suatu nilai dimana x mendekati suatu nilai berhingga (dapat dihitung). Bentuk umum dari limit fungsi. Misalkan fungsi f terdefinisi di setiap x bilangan real, nilai limit fungsinya sama dengan nilai fungsinya. Contoh soal limit dengan pemfaktoran.

Sekarang mari kita bahas cara faktorisasi.

Untuk proses pemfaktorannya sama seperti proses faktorisasi bentuk aljabar Limit tak hingga merupakan bentuk dari limit fungsi pada tinjauan sangat jauh atau tak hingga. Limit fungsi bab • limit fungsi • pendekatan (kiri dan kanan) • bentuk tentu dan tak tentu • perkalian sekawan. Definisi dan pengertian limit 1.1. Pada bahasa matematika, keadaan ini biasa disebut limit. Konsep dari tak hingga sendiri cukup unik yaitu jika kita melakukan perjalanan dengan kecepatan 1. Limit suatu fungsi terdiri dari f(x), batas x untuk dimasukkan ke dalam fungsi. Limit fungsi aljabar dibagi menjadi dua, yaitu limit fungsi untuk x mendekati a dan limit fungsi di misalkan fungsi terdefinisi di setiap nilai bilangan real dan nilai limit fungsinya sama dengan nilai. Fungsi tersebut memiliki limit l pada titik masukan p bila f(x). Definisi limit fungsi aljabar limit suatu fungsi aljabar, f(x) misalnya faktorisasi faktorisasi dilakukan jika nilai tidak dapat dicari langsung dengan substitusi (muncul. Definisi limit berikut adalah definisi limit menurut austin louis cauchy: Mendekati hampir, sedikit lagi, atau harga batas. Sama seperti limit fungsi pada umumnya, limit fungsi aljabar adalah fungsi yang mendekati suatu nilai dimana x mendekati suatu nilai berhingga (dapat dihitung).

Yuk, kita pelajari limit fungsi aljabar bersama, supaya pemahaman mengenai limit akan lebih mendalam. Limit suatu fungsi terdiri dari f(x), batas x untuk dimasukkan ke dalam fungsi. Dalam cara ini, fungsi aljabar diuraikan menjadi. Contoh soal limit dengan pemfaktoran. Definisi dan pengertian limit 1.1.

Konsep Limit Fungsi Aljabar Dan Sifat Sifatnya Matematika Kelas 11
Konsep Limit Fungsi Aljabar Dan Sifat Sifatnya Matematika Kelas 11 from www.ruangguru.com
Mendekati hampir, sedikit lagi, atau harga batas. Fungsi tersebut memiliki limit l pada titik masukan p bila f(x). Limit merupakan sebuah konsep matematika dimana sesuatu dikatakan dalam pengoperasian limit fungsi aljabar, terdapat beberapa hukum atau teorema limit yang perlu. Sebuah fungsi f(x) mempunyai jika dan hanya jika untuk sembarang. Bentuk umum dari limit fungsi. Limit suatu fungsi terdiri dari f(x), batas x untuk dimasukkan ke dalam fungsi. Yuk, kita pelajari limit fungsi aljabar bersama, supaya pemahaman mengenai limit akan lebih mendalam. Cara ini dipakai ketika kita menggunakan cara subtitusi langsung tetapi hasilnya , maka fungsi harus.

Limit fungsi aljabar dibagi menjadi dua, yaitu limit fungsi untuk x mendekati a dan limit fungsi di misalkan fungsi terdefinisi di setiap nilai bilangan real dan nilai limit fungsinya sama dengan nilai.

Mencari nilai limitnya dilakukan penyederhanaan aljabar dengan faktorisasi. Pada bahasa matematika, keadaan ini biasa disebut limit. Cara ii (faktorisasi) perhatikan bahwa f(x) = x x x x x x x 2 2 3 2 4 2 1 2 2. (daerah dengan limit fungsi aljabar. Bentuk umum dari limit fungsi. Definisi limit fungsi aljabar limit suatu fungsi aljabar, f(x) misalnya faktorisasi faktorisasi dilakukan jika nilai tidak dapat dicari langsung dengan substitusi (muncul. Dalam cara ini, fungsi aljabar diuraikan menjadi. Sebuah fungsi f(x) mempunyai jika dan hanya jika untuk sembarang. Misalkan fungsi f terdefinisi di setiap x bilangan real, nilai limit fungsinya sama dengan nilai fungsinya. Cara faktorisasi bisa kita pakai kalau kita dapat hasil yang tak tentu dari cara dasar alias substitusi. Materi faktoriasasi pada limit yang aplikatif. Limit bisa diartikan sebagai menuju suatu batas, sesuatu yang dekat tetapi tidak bisa dicapai. Konsep dari tak hingga sendiri cukup unik yaitu jika kita melakukan perjalanan dengan kecepatan 1.

Mencari nilai limitnya dilakukan penyederhanaan aljabar dengan faktorisasi. Limit suatu fungsi terdiri dari f(x), batas x untuk dimasukkan ke dalam fungsi. Membagi dengan variabel pangkat tertinggi. Limit bisa diartikan sebagai menuju suatu batas, sesuatu yang dekat tetapi tidak bisa dicapai. Definisi limit berikut adalah definisi limit menurut austin louis cauchy:

Limit Fungsi Aljabar Matematika Kelas 11 Quipper Blog
Limit Fungsi Aljabar Matematika Kelas 11 Quipper Blog from i2.wp.com
Mendekati hampir, sedikit lagi, atau harga batas. Sekarang mari kita bahas cara faktorisasi. Materi lengkap limit, fungsi aljabar, beserta limit menuju tak hingga. Konsep dari tak hingga sendiri cukup unik yaitu jika kita melakukan perjalanan dengan kecepatan 1. Limit suatu fungsi merupakan salah satu konsep mendasar dalam kalkulus dan analisis, tentang kelakuan suatu fungsi mendekati titik masukan tertentu. Sebuah fungsi f(x) mempunyai jika dan hanya jika untuk sembarang. Definisi dan pengertian limit 1.1. Soal diangkat dari buku matematika kelas 11 karangan #dr sukino m.sc #matematika sma.

Suatu limit f(x) dikatakan mendekati a {f(x) a} sebagai suatu limit.

Pada bahasa matematika, keadaan ini biasa disebut limit. Mencari nilai limitnya dilakukan penyederhanaan aljabar dengan faktorisasi. Definisi dan pengertian limit 1.1. Mendekati hampir, sedikit lagi, atau harga batas. Cara faktorisasi bisa kita pakai kalau kita dapat hasil yang tak tentu dari cara dasar alias substitusi. Limit fungsi:suatu limit f(x) jika 0 didistribusikan menghasilkan (bukan solusi) sehingga soal diselesaikan dengan cara faktorisasi. Soal dan pembahasan limit fungsi trigonometri doc. (daerah dengan limit fungsi aljabar. Limit berarti menuju suatu batas penyelesaian limit dengan substitusi langsung maka hasilnya 0/0 sehingga untuk menyelesaikannya perlu digunakan cara faktorisasi. Limit merupakan sebuah konsep matematika dimana sesuatu dikatakan dalam pengoperasian limit fungsi aljabar, terdapat beberapa hukum atau teorema limit yang perlu. Mei 01, 2019 3 komentar. Sekarang mari kita bahas cara faktorisasi. Limit suatu fungsi merupakan salah satu konsep mendasar dalam kalkulus dan analisis, tentang kelakuan suatu fungsi mendekati titik masukan tertentu.

Post a Comment

0 Comments